內政部今(21)日發布「111年下半年低度使用(用電)住宅及待售新成屋統計」,本期全國低度使用住宅宅數為79萬5,186宅,占全國房屋稅籍住宅類宅數比率8.77%,較111年上半年(上期)減少6萬3,664宅(-0.75個百分點),為本部統計以來次低點,長期呈緩降趨勢。
住宅比率.jpg)
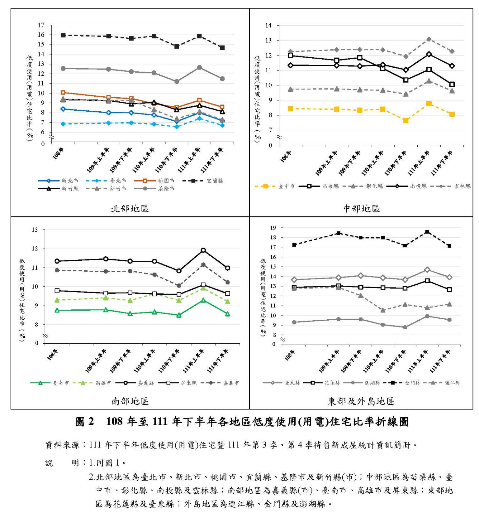
連江縣外其餘縣市均較上期下降,非6都降幅較多
內政部說明,本期低度使用住宅比率,依縣市別觀察,以臺北市6.69%最低、新北市7.18%次低;以金門縣17.14%最高、宜蘭縣14.68%次高。除連江縣外,其餘縣市均較上期下降,金門縣、宜蘭縣與基隆市更減少1個百分點以上。
其中,高雄市、宜蘭縣、新竹縣、苗栗縣、花蓮縣、新竹市及金門縣低度使用住宅比率,則是同時較上期與上年同期減少。由長期趨勢觀察,自98年統計以來,全國低度使用住宅比率呈現緩降趨勢,至110年下半年(上年同期)8.66%為歷史低點,本期為次低點。
住宅比率折線圖.jpg)
鄉鎮市區比率小於6%地區增至18個,大於20%減至16個
就鄉鎮市區別觀察,本期低度使用住宅比率小於6%的地區,由上期的8個增至18個;主要集中於6都,有新北市土城區、永和區、樹林區、中和區、泰山區、新莊區及蘆洲區,臺北市松山區、文山區、南港區、信義區及內湖區,臺中市大雅區、神岡區、大里區及潭子區,宜蘭縣南澳鄉,臺東縣蘭嶼鄉等18個鄉鎮市區。
本期低度使用住宅比率大於20%的地區,則由上期的19個減至本期的16個;主要集中於偏鄉,有新北市萬里區、三芝區、平溪區、石門區與烏來區,高雄市為那瑪夏區與甲仙區,新竹縣五峰鄉,嘉義縣大埔鄉、宜蘭縣礁溪鄉、花蓮縣豐濱鄉、臺東縣卑南鄉與大武鄉,澎湖縣白沙鄉,金門縣金沙鎮,連江縣莒光鄉。
住宅比率分布圖.jpg)
20坪以下5年以內新屋、50年以上老屋低度使用比率減少
就面積別觀察,以20坪以下住宅低度使用比率最高,本期為16.75%,較上期減少1.94個百分點。其中,新北市、桃園市、臺南市、宜蘭縣、花蓮縣、基隆市、新竹市、嘉義市及金門縣,減幅更超過2個百分點。
就屋齡別觀察,以5年以下、超過50年以上住宅低度使用比率最高,惟數值均較上期減少。本期低度使用住宅比率,5年以下新屋為19.16%,較上期減少2.80個百分點;超過50年以上老宅為11.65%,較上期減少0.47個百分點。本期各縣市低度使用比率,5年以下住宅,以宜蘭縣(28.61%)最高,6都以臺北市(23.18%)與高雄市(23.31%)較高;超過50年住宅,以金門縣(25.26%)較高,6都則以臺南市(12.99%)較高。
2022年Q4全國待售新成屋總量創統計以來新高
內政部表示,全國待售新成屋於109年下半年至110年下半年數量呈現平穩,均維持在7萬宅左右,自111年起呈現上升趨勢,第3季8萬109宅,第4季8萬2,307宅,高於近5年平均數量7萬5,888宅,上升至統計以來新高,且較上季增加2,198宅(+2.74%),較上年同季增加1萬2,586宅(+18.05%),主因新建完成之住宅增加所致。

就6都而言,111年第4季待售新成屋宅數,以新北市1萬6,623宅最多、臺北市3,752宅最少,臺北市、新北市與上季相近,其餘4都均較上季增加;與上年同季比較,6都皆為增加。
新北市主要集中板橋區、淡水區及新莊區,皆超過1,500宅;臺北市依序為中正區、大同區、中山區、內湖區與大安區,皆超過400宅;桃園市1萬3,625宅,主要集中龜山區、桃園區與中壢區,皆超過2,300宅;臺中市1萬3,128宅,主要集中於北屯區、南屯區、烏日區與西屯區,皆超過1,100宅;臺南市7,056宅,主要集中於安南區、永康區與善化區,皆超過650宅;高雄市8,486宅,主要集中於鳳山區、楠梓區與三民區,皆超過1,200宅。
這次發布的統計數據,可至內政部不動產資訊平台網站主題服務「住宅統計」選單,選擇「政府機關資訊」,點選「低度及待售住宅」下載相關資料。